| Timeline of heavy-baryon semileptonic-decay resultsA timeline of experimental and lattice-QCD results for Λb, Λc, and Ξc semileptonic decays, 2011-present. | 
| 
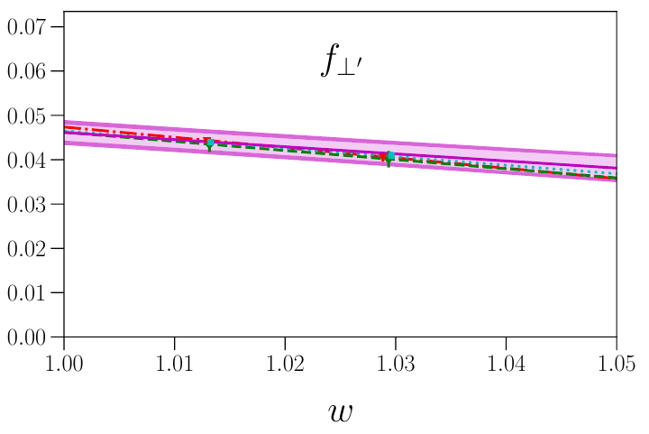
                | 2025High-precision lattice-QCD calculation of the Ξc→Ξ form factors using domain-wall fermions. The resulting Standard-Model prediction for the Ξc0→Ξ-e+ν branching fraction is a factor 1.5 higher than the previous prediction by Zhang et al., and a factor of 3.4 higher than the experimental value reported by the Particle Data Group, but consistent with approximate SU(3) flavor-symmetry relations to Λc decay branching fractions. C. Farrell and S. Meinel, https://arxiv.org/abs/2504.07302 | 
| 
                | 2024First observation of the decay Λc→n e+ν by BESIII. The measured branching fraction is consistent with my 2017 SM prediction using lattice-QCD and using |Vcd| from unitarity. The BESIII measurement and lattice calculation together yield the first determination of |Vcd| from a baryon decay. BESIII Collaboration, https://arxiv.org/abs/2410.13515 (Nature Communications) | 
| 
                 | 2024Higher-sensitivity search for the rare decay Λc→pμ+μ- by LHCb. LHCb Collaboration, https://arxiv.org/abs/2407.11474 (Phys. Rev. D) | 
| 
                | 2023First measurement of the Λb→Λ*(1520)μ+μ- differential branching fraction by LHCb. At high q2, the results are consistent with our 2021 SM prediction using lattice QCD. LHCb Collaboration, https://arxiv.org/abs/2302.082627 (Phys. Rev. Lett.) | 
| 
                | 2022/2023High-precision measurements of the Λc→Λe+ν and Λc→Λμ+ν branching fractions and angular distributions by BESIII, and updated determination of the CKM matrix element |Vcs|. Form-factor shapes fitted to the data are in some tension with my 2016 lattice-QCD predictions. BESIII Collaboration, https://arxiv.org/abs/2207.14149 (Phys. Rev. Lett.) and https://arxiv.org/abs/2306.02624 (Phys. Rev. D) | 
| 
                | 2022First measurement of the Λc→Λ*(1520)e+ν branching fraction by BESIII. The result is consistent with our 2021 lattice-QCD prediction. BESIII Collaboration, https://arxiv.org/abs/2207.11483 (Phys. Rev. D) | 
| 
                | 2022First observation of the decay Λb→Λc τ- ν and first measurement of the lepton-flavor-universality ratio R(Λc) by LHCb. The central value of the measured R(Λc) is lower than the SM prediction using our 2015 form factors from lattice QCD, in contrast to the excesses seen in mesonic decays. LHCb Collaboration, https://arxiv.org/abs/2201.03497 (Phys. Rev. Lett.) | 
| 
                 | 2021First lattice-QCD calculation of the Λc→Λ*(1520) form factors. 
                S. Meinel, G. Rendon,  | 
| 
                 | 2021First lattice-QCD calculation of the Λb→Λc*(2595) and Λb→Λc*(2625) form factors. S. Meinel, G. Rendon, https://arxiv.org/abs/2103.08775 (Phys. Rev. D) (updated in https://arxiv.org/abs/2107.13140) | 
| 
                 | 2020First lattice-QCD calculation of the Λb→Λ*(1520) form factors. S. Meinel, G. Rendon, https://arxiv.org/abs/2009.09313 (Phys. Rev. D) (updated in https://arxiv.org/abs/2107.13140) | 
| 
                | 2021ALICE measurement of the ratio of Ξc0→Ξ-e+ν and Ξc0→Ξ-π+ branching fractions. The semileptonic branching fraction obtained by multiplying the ratio with a Belle measurement of the Ξc0→Ξ-π+ branching fraction from 2018 is consistent with the Standard-Model prediction using lattice QCD by Zhang et al.. ALICE Collaboration, https://arxiv.org/abs/2105.05187 (Phys. Rev. Lett.) | 
| 
                | 2021First lattice-QCD calculation of the Ξc→Ξ form factors. The resulting Standard-Model prediction for the Ξc0→Ξ-e+ν branching fraction is a factor 1.8 higher than the experimental value from Belle, but is still lower than expected from approximate SU(3) flavor-symmetry relations to Λc decay branching fractions. Q.-A. Zhang et al., https://arxiv.org/abs/2103.07064 (Chin. Phys. C) | 
| 
                | 2021Belle measurement of the ratios of Ξc0→Ξ-l+ν (l=e,μ) and Ξc0→Ξ-π+ branching fractions. The semileptonic branching fractions obtained by multiplying these ratios with a Belle measurement of the Ξc0→Ξ-π+ branching fraction from 2018 are much lower than expected from approximate SU(3) flavor-symmetry relations to Λc decay branching fractions. Belle Collaboration, https://arxiv.org/abs/2103.06496 (Phys. Rev. Lett.) | 
| 
                | 2018Measurement of the Λb→Λμ+μ- angular moments by LHCb. The SM predictions shown use our 2016 lattice-QCD results for the form factors. LHCb Collaboration, https://arxiv.org/abs/1808.00264 (JHEP) | 
| 
                 | 2017Search for the rare decay Λc→pμ+μ- by LHCb. LHCb Collaboration, https://arxiv.org/abs/1712.07938 (Phys. Rev. D) | 
| 
                 | 2017First lattice-QCD calculation of the Λc→N (N=p,n) form factors. S. Meinel, https://arxiv.org/abs/1712.05783 (Phys. Rev. D) | 
| 
                | 2017Measurement of the shape of the Λb→Λcμ-ν differential decay rate, confirming our 2015 lattice-QCD prediction. LHCb Collaboration, https://arxiv.org/abs/1709.01920 (Phys. Rev. D) | 
| 
                 | 2016First lattice-QCD calculation of the Λc→Λ form factors and first precise determination of the CKM matrix element |Vcs| from baryon decays. S. Meinel, https://arxiv.org/abs/1611.09696 (Phys. Rev. Lett.) | 
| 
                | 2016First absolute measurement of the Λc→Λμ+ν branching fraction by BESIII. BESIII Collaboration, https://arxiv.org/abs/1611.04382 (Phys. Lett. B) | 
| 
                 | 2016First lattice-QCD calculation of the Λb→Λ form factors with physical-mass b quarks. W. Detmold, S. Meinel, https://arxiv.org/abs/1602.01399 (Phys. Rev. D) | 
| 
                | 2015First absolute measurement of the Λc→Λe+ν branching fraction by BESIII. BESIII Collaboration, https://arxiv.org/abs/1510.02610 (Phys. Rev. Lett.) | 
| 
                | 2015Determination of the ratio of CKM matrix elements |Vub/Vcb| from Λb→pμ-ν and Λb→Λcμ-ν decays by LHCb, using our lattice-QCD calculation of the form factors. This is the first determination of |Vub/Vcb| from baryon decays and the first at a hadron collider. The result disfavors right-handed couplings beyond the SM as an explanation of the exclusive-inclusive discrepancy in mesonic determinations of |Vub|. LHCb Collaboration, https://arxiv.org/abs/1504.01568 (Nature Physics) | 
| 
                | 2015Measurement of the Λb→Λμ+μ- differential branching fraction and angular distribution by LHCb. The SM prediction shown uses our 2012 lattice-QCD results for the form factors. LHCb Collaboration, https://arxiv.org/abs/1503.07138 (JHEP) | 
| 
                | 2015First lattice-QCD calculation of the Λb→p and Λb→Λc form factors with physical-mass b quarks, and Standard-Model prediction for the lepton-flavor-universality ratio R(Λc). W. Detmold, C. Lehner, S. Meinel, https://arxiv.org/abs/1503.01421 (Phys. Rev. D) | 
| 
                | 2013First lattice-QCD calculation of the Λb→p form factors with static b quarks. W. Detmold, C.-J. D. Lin, S. Meinel, M. Wingate, https://arxiv.org/abs/1306.0446 (Phys. Rev. D) | 
| 
                | 2012First lattice-QCD calculation of the Λb→Λ form factors with static b quarks. W. Detmold, C.-J. D. Lin, S. Meinel, M. Wingate, https://arxiv.org/abs/1212.4827 (Phys. Rev. D) | 
| 
                | 2011First observation of the rare decay Λb→Λμ+μ- by CDF. CDF Collaboration, https://arxiv.org/abs/1107.3753 (Phys. Rev. Lett.) | 
 
               
               
               
               
               
               
               
               
               
               
               
               
               
               
               
               
               
               
               
               
               
               
               
               
               
              