PHYS 371 - Spring 2018

  Infinite Square Well Animations


  psin(x,t)

  psi1(x,t) Animation

  psi2(x,t) Animation

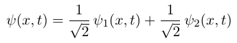
  psi12(x,t) Animation

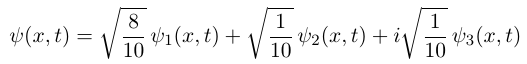
  psi123(x,t) Animation

   Homework 4, nmax=3

   Homework 4, nmax=19

   Homework 4, nmax=101

   Homework 4, nmax=19, whole revival period

  Article discussing quantum revivals vs. classical periodicity: Journal version, Preprint