PHYS 371 - Spring 2018

  Gaussian Wave Packet Animations


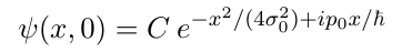
  psi(x,0)

  p0 = 0,  σ0 = 10-10 m

  p0 = sqrt(2 me 1 eV),  σ0 = 10-10 m

  p0 = sqrt(2 me 10 eV),  σ0 = 10-10 m

  p0 = sqrt(2 me 10 eV),  σ0 = 10-9 m