PHYS 371 - Spring 2018

  Delta Function Potential Animations


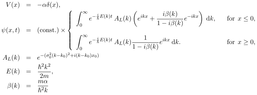
  Delta Function Potential Equations

   Stationary state (one value of k), α=5x10-10 eV m

   Wave packet, α=5x10-10 eV m

   Wave packet, α=5x10-9 eV m

   Wave packet, α=5x10-6 eV m

   Wave packet, α=-5x10-10 eV m

   Note: for the animations, the integral was approximated by replacing β(k) by β(k0).